Exploring the Future of Distributed Resources
These days, it seems homeowners can choose a smart version of just about any household device. Using a computer or smartphone, consumers can control and adjust home lighting, thermostats, refrigerators and even electric vehicle (EV) chargers. Electric utilities and manufacturers alike recognize these products offer not only comfort and convenience but also the potential to reduce customer bills and support the electric grid, when needed, through integrated, interactive platforms.
From photovoltaic (PV) arrays to battery storage systems, distributed energy resources (DERs) offer impressive diversity and growing promise. As interest in these systems has grown, so have calls to study how coordinated use of DERs might reduce their own variability and uncertainty while improving the reliability and efficiency of electric infrastructure. For example, proponents say expansive, effective use of coordinated DERs could provide non-wire alternatives in place of traditional infrastructure investment.
Although each technology offers individual strengths, most of them are so new researchers have had few real-world opportunities to study closely how they might be used collectively. For this reason, Tucson Electric Power (TEP) and the Electric Power Research Institute (EPRI) teamed up for the Resource Aggregation and Integration Network study, also known as Project RAIN. It is among the first in-depth studies across the globe to explore how distributed generation and energy storage can combine productively with flexible loads to fulfill system needs dynamically. Project RAIN is designed to help utilities and manufacturers alike explore:
- DER aggregation availability from current vendor offerings
- Practical capabilities of individual and aggregated DER
- Potential for customer engagement in supporting the grid
- Practical challenges of communication and coordination
- Strategies for integrating DER management into utility grid operations.
Integration and Management
Although Project RAIN continues through summer 2019, the research team has uncovered several important findings. For example, current DER options do not provide off-the-shelf solutions. Early evaluation indicates significant product customization is necessary still, even when using open standards for communication. In addition, significant development is needed in the area of optimizing DER dispatch, particularly for multi-technology integration. Customer behavior significantly influences the availability and performance of aggregated DER, and usage of DER varies widely, even among devices of the same type.
A central component of Project RAIN is evaluation of the DER management system (DERMS), which serves as the central controller for all DERs. Provided by Smarter Grid Solutions, Project RAIN’s cloud-based DERMS enables operators to schedule commands for various combinations of DERs through a user interface.
To evaluate DERMS in the field, the project incorporated these controllable assets, some of which were installed already:
- A 48-kWac PV array installed at TEP headquarters in downtown Tucson, Arizona, U.S. (existing)
- Four EV chargers installed at TEP headquarters (new)
- A dozen TEP-owned distributed solar arrays installed on project participants’ homes (existing), with each participating home also receiving a programmable thermostat and either a battery energy storage device or a grid-interactive water heater (new).
The research team selected this set of DERs to provide enough connection points, a variety of resource types, and a balanced portfolio for grouping and optimization.
DER devices in the study were required to communicate directly using open standards, be adaptable at a local level or use a cloud-based aggregator that could be connected through an open standard protocol. The DER devices included:
- Solar inverters from Fronius supported locally by SunSpec Modbus, with communications routed over a virtual private network (VPN) link to the DERMS for security
- EV chargers from Greenlots that communicate over open charge point protocol (OCPP 1.5) to a cloud-based platform, where they are controlled by the DERMS through the OpenADR, automated demand response, standard protocol
- Water heaters from A.O. Smith that have a standard (CTA-2045) access port and accept a control module from SkyCentrics, which provides OpenADR access to the water heaters through its cloud platform
- Thermostats from Ecobee that communicate to the manufacturer’s cloud and are accessible through an application programming interface (API), with SkyCentrics’ cloud system providing OpenADR connectivity to these devices
- Batteries from Sonnen that are accessed directly from the DERMS through an API, the only nonstandard protocol in Project RAIN.
Although most of the DER use standard protocols such as Modbus and OpenADR, application of these standards continues to evolve, particularly for multi-vendor applications. The standards themselves offer significant flexibility and manufacturers continue to develop common practices. While the open standard provides a common platform for integration, DERMS is still far from plug and play. The design of the standards and variety of DER vendor implementations for clients puts pressure squarely on the DERMS (server) to make the interaction work.
For instance, SunSpec Modbus requires the DERMS to scan each device to determine the functions it supports as well as available measurements. This presents a significant barrier to new entrants unfamiliar with the SunSpec implementation.
Labeling each DER unit and returning measurement data is optional for aggregators to provide within OpenADR. If the DERMS requires such information, the downstream DER may be dispatched incorrectly. Furthermore, although simple in concept, it is critical to represent the correct time and time zone associated with commands. Standards such as OpenADR reference coordinated universal (Zulu) time. For APIs, the default time zone may be that of the device, operator, or aggregator. This severely complicates communication.
Different DER Types
An important goal of Project RAIN is to demonstrate how different types of DERs can operate in coordination to provide system benefits. Before operators send commands to the DER, they must consider carefully the grid support objective, such as increasing or decreasing load.
For instance, a load-shedding event may require coupling an upward adjustment to a thermostat with a 33% reduction in the charging current for an EV. Some DER, such as rooftop PV systems, may allow active power to change in only one direction. For PV systems, an active power limit reduces generation, thus increasing load. To establish integrated DER in Project RAIN, it was necessary to align all the various actions and responses to the dispatch signals of the DERMS.
Dispatch signals were further influenced by the limitations of OpenADR SIMPLE signal commands, which most aggregators support. The aggregator receives a discrete number (0, 1, 2, or 3), which then is translated into a device command. The relationship between the SIMPLE level and the device command must be programmed in advance for any useful coordination between devices to occur.
For Project RAIN, such interactions were prescribed for the demand-response devices, and commands for the generation and storage devices were specified for each level. Such rudimentary command structure provides uniformity, though it lacks the flexibility to support the more complex optimization techniques expected in the future.
Customer Behavior
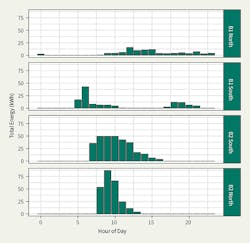
With the inclusion of both residential and commercial equipment, along with monitoring and control, the project team is collecting baseline measurements to better understand each device’s potential. As expected, power use can vary widely in both demand and occurrence. This is demonstrated by the varying uses of Project RAIN’s EV charging units.
The B1 North unit is used primarily in the afternoons and evenings, while the B1 South unit is used primarily in the mornings and evenings. Both the B2 North and South units are used during the workday for much higher-capacity EVs.
The magnitude, timing, and consistency of the use of EV chargers affects their suitability for meeting project objectives. For instance, if additional system load is needed midday, the B2 North and South units may be used with little modification or management while the morning charging of B1 South may be deferred to a later time.
Next Steps
Project RAIN has begun structured testing in which executed commands modify both load and generation during different weather and system conditions. Device action and response will be compared with intentional baseline days in which the devices run without interruption. Using the information from this testing, the project team expects to understand more fully the implications of combining various types of DER to benefit the grid.
As Project RAIN concludes, TEP will share its results with industry stakeholders in a final Technical Advisory Council later in 2019. TEP has hosted these meetings to share learnings, collaborate with the industry and learn from other utility experiences across the U.S. This breadth and depth of knowledge will be valuable as the utility explores what is next in the world of distribution system management, distributed energy resources and customer engagement.
For more information:
A.O. Smith | www.aosmith.com
Ecobee | www.ecobee.com
Fronius | www.fronius.com
Greenlots | https://greenlots.com
SkyCentrics | https://skycentrics.com
Smarter Grid Solutions | www.smartergridsolutions.com
Sonnen | https://sonnenusa.com
TEP | www.tep.com
About the Author
Justin Orkney
Justin Orkney is a senior program manager for Tucson Electric Power (TEP). He currently oversees all distributed generation and distributed energy resources (DER) activity in the utility’s service territory. Orkney has more than a decade of experience with customer-sited solar and has been leading TEP’s efforts with respect to distributed storage and DER management platforms. He has an in-depth understanding of how technology, rate design, policy, and customer interest can come together to provide value to all stakeholders.









